четверг, 7 октября 2021 г.

Задание по геометрии для 9 класса

 07.10. Тема: "Векторы"

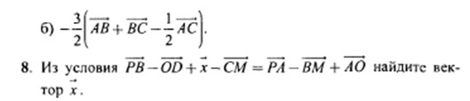
Запишите в тетрадь примеры решения задач по данной теме:













Домашнюю контрольную работу выполнить в тетради и выслать фото мне на почту до конца дня 07.10

Комментариев нет:

Отправить комментарий